產品制造過程是一個將制造資源(物料、能源等)轉變為產品或半成品的資源增殖過程,但是,制造過程在將制造資源轉變為產品或半成品的加工過程中,也同時產生了資源消耗和環境影響兩大副作用問題。
產品制造過程資源消耗和環境影響問題的研究引起了國內外的廣泛關注.美國麻省理工學院Gutowski T教授分析了機械加工過程中的環境影響和資源消耗的各種因素和狀況,提出了一種對機械加工過程環境負荷進行測定的方法.目前的研究主要側重于對資源的優化利用和對制造過程產生的環境影響評價方法的研究,缺乏對制造過程輸入資源與環境影響輸出之間關聯性分析的研究,難以有效地確定環境問題產生的根源.
1 制造過程資源消耗和環境影響分析模型
1.1基于啪圖的產品制造過程模型
產品制造過程是由一系列的工序環節(每個工序也是一個具體工藝過程)組成,包括毛坯成形、零件機械加工、材料改性與處理、裝配調試等制造階段.每個工藝過程都可以看作為一個輸入-處理-輸出的單元過程,而制造過程則可以看作是由一系列工藝IPo過程組成的工藝過程鏈,即一個更大的輸入.處理.輸出過程,如圖1所示.

圖l所示的制造過程構成模型描述了制造過程的功能作用,即輸出產品或半成品,且不斷伴隨著各方面有形的和無形的副產品輸出.制造過程的輸入資源主要是指物料資源,包括物料(原材料、坯件、半成品等)、能源、設備等;輸出主要是合格產品、環境排放等,其中環境排放是一些有形無形的副產品,包括:1)固體廢棄物:
如下料車間的邊角余料、切削過程的切屑等;2)液體廢棄物:如冷卻液,潤滑液泄露等;3)氣體廢棄物:如冷卻液煙霧等;4)噪聲;5)其他(如溫度上升、振動產生等)自潤滑軸承.
基于制造過程的工藝鏈及其輸人輸出關系圖,可以將復雜的制造過程分解為一系列的工藝單元,在對單個制造工藝的資源消耗和環境影響分析的基礎上,建立一種產品制造過程輸入和輸出之間的關聯性模型.
1.2產品制造過程資源消耗和環境影響分析數學模型
1.2.1單個工藝資源消耗和環境影響分析的數學模型單獨考慮制造過程某個加工工藝的資源消耗和環境影響關系,可建立圖2所示的示意圖.

圖2中共有m個輸入量,從M1到Mm,以及m+n個輸出量,M1*至Mm*和y1至yn。在輸出量中,M1*至Mm*保持原來的物質形態,y1至yn是在工藝過程中生成的新物質.這種工藝過程輸入和輸出關系可用表1來進一步描述.

表的左列表示工藝過程的物料輸入量,頂行表示物料輸出量,其它元素描述的是從輸入到輸出的物料流,如Z12表示從材料M1到材料M2的物料流,W1n表示材料M1新產生的物質Yn的物料流。假定工藝過程的輸入和輸出之間有一定的線性關系,基于物質守恒定律,則有

在工藝條件不變的情況下,aij,bij固定不變,基于上述式子,可得#p#分頁標題#e#

式(3)可寫成矩陣形
![]()
其中

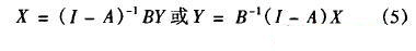
A和B是工藝過程中的技術矩陣,矩陣A描述在工藝輸出中物質形態沒有變化的系數矩陣,矩陣B表示工藝輸出中產生了新物質的系數矩陣.A是一個方陣,在工藝過程輸入量數目和形式不變的情況下,(I-A)是非奇異的,則輸入量X可根據輸出l,表示為:
![]()
式(5)具有特殊的意義,通常對于環境產生影響的排放物出現在矢量l,中,可以通過改變工藝的輸入來降低這些環境排放物的影響.
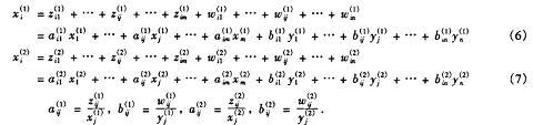
1.2.2產品制造過程的資源消耗和環境影響分析模型產品制造的整個過程資源消耗和環境影響的分析,則可在工序層次上的物料輸入輸出集成的基礎上進行.以制造過程中的兩個加工工藝集成為例進行說明,如圖3所示.

根據式(3)可得這兩個工藝過程的物料平衡關系
集成的輸入量X和輸出量l,定義為

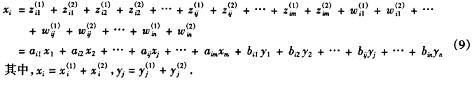
式(6)、(7)組合后可化為
![]()
集成的技術系數定義為

集成的制造過程輸入輸出分析模型為


上述過程說明,產品制造過程可在各單個工藝輸入輸出分析模型的基礎上進行集成,建立整個制造過程的輸入輸出模型.同樣,應用這些模型及其間的相互聯系,可對生產系統,甚至整個制造企業輸入輸出的關聯性進行分析.
2 案例應用
某閥門制造廠電動截止閥的閥體制造過程流程如下:原材料一毛坯一機加工一熱處理一裝配一檢驗.以閥體的毛坯制造和機加工工藝為例進行分析.這兩道工藝過程的輸入輸出如下圖4、圖5所示.


根據各工藝過程的輸入一處理輸出示意圖,根據從一個閥體制造過程中獲得的數據,建立了如表2,表3所示的工藝輸入輸出數據表.


閥體加工過程中毛坯加工和機加工集成的輸入矢量X和輸出矢量y表示如下#p#分頁標題#e#

基于方程式(1)一(4),將表2和表3中的數據分別代人(2)和(4)可求得這兩個工藝的技術系數矩陣,如下所示

應用方程式(6)~(11)及A1,B1,A2,B2,就可以計算出集成技術系數矩陣和這兩道工藝輸入輸出關系的數學方程,結果如下

在上述方程式的基礎上,可以探索出各種可以減少環境排放量的方法,促使制造過程朝著零排放的方向發展.如要將生產過程中廢棄物和切削的產生量各減少25%,20%,矢量Y從[16,9,0.1,0.25,1.5,12]τ改變成[12,9,0.1,0.25,1.5,9.6]τ,根據上式,矢量X應從[310.55,1.626,0.098,2.507,294.795,4.934,0.288,0.156]τ,變成[239.31,1.626,0.086,2.507,238.107,4.934,0.2688,0.156]τ.根據上述計算,可以通過改變毛坯的輸入量來極大的減少切屑和廢棄物,因此,可將傳統的鑄造、自由鍛改為模鍛或者是液態模鍛等精密的毛坯制造方法,從而提高毛坯的制造精度,減少機加工切削量,使得機加工輸出的廢棄物、切屑等大大減少.
3 結論
產品制造過程是產品全生命周期過程中產生資源消耗和環境影響的重要環節.在制造過程的各個環節都有產生環境影響問題的可能,從制造資源的輸入開始,對可能產生的環境問題事先進行分析預測,為利用資源減量化來減少制造過程中的環境影響提供支持.本文建立了基于鵬模型的產品制造過程工藝鏈的框架模型,提出了一種對制造工藝資源消耗和環境影響之間關聯性進行分析的方法,在對單個工藝進行分析的基礎上,集成各加工工藝輸入和輸出,建立了制造過程輸入和輸出之間的關聯性模型.該模型能夠對制造過程資源流和環境影響之間的關系進行描述,通過對模型中的輸入輸出進行對照分析,達到改進輸入,抑制環境排放流輸出的目的,從源頭上減少制造過程環境排放量.
相關文章
- 2021-09-08BIM技術叢書Revit軟件應用系列Autodesk Revit族詳解 [
- 2021-09-08全國專業技術人員計算機應用能力考試用書 AutoCAD2004
- 2021-09-08EXCEL在工作中的應用 制表、數據處理及宏應用PDF下載
- 2021-08-30從零開始AutoCAD 2014中文版機械制圖基礎培訓教程 [李
- 2021-08-30從零開始AutoCAD 2014中文版建筑制圖基礎培訓教程 [朱
- 2021-08-30電氣CAD實例教程AutoCAD 2010中文版 [左昉 等編著] 20
- 2021-08-30電影風暴2:Maya影像實拍與三維合成攻略PDF下載
- 2021-08-30高等院校藝術設計案例教程中文版AutoCAD 建筑設計案例
- 2021-08-29環境藝術制圖AutoCAD [徐幼光 編著] 2013年PDF下載
- 2021-08-29機械AutoCAD 項目教程 第3版 [繆希偉 主編] 2012年PDF