1 階梯過盈套結構的特點
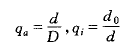
階梯過盈套是由兩段相鄰的過盈聯結表面組成的、套內呈階梯狀的聯結裝置,如圖1所示。階梯過盈套結構的特點主要有[2]:

圖1 階梯過盈套的主要結構形式
(1)為了便于拆卸,階梯過盈套的內表面有一個階梯。當壓力油注入油槽進行拆卸時,這個階梯會對套產生一個軸向推力,如果兩配合過盈面此時已形成了壓力油膜,該軸向推力會自動地把階梯過盈套從軸上推下來,過盈套兩過盈面的階梯差很小,通常在1mm以下。
(2)在確定階梯過盈套兩結合面的過盈量的時候,應注意加工誤差對最終過盈量的影響,特別是圓度誤差和同軸度誤差的影響。通常過盈套兩段的過盈量不一致。但過盈套大小端過盈量的差值不能太大,其差值應補償加工圓度和同軸度誤差對過盈量的影響。否則,將大大增加拆卸的難度。
(3)為方便拆卸,大小端配合面的寬度b1、b2應該一致。
2 階梯過盈套過盈量的確定
高速機床上所用的階梯過盈套是一種可拆的過盈聯結,工作時,配合面不允許產生塑性變形。因此,過盈量應該控制在材料不產生塑性變形所允許的最大過盈量范圍之內;另一方面它又必須大于該過盈聯結傳遞負荷所需的最小過盈量。
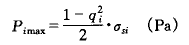
設D為過盈套(包容件)的外徑,d0為主軸內孔的直徑,d為配合處(結合面)主軸的外徑;l為配合面的有效長度(l=l1+l2),如圖2所示。

圖2 階梯過盈套傳遞力和轉矩
當過盈聯結傳遞轉矩為M(單位為Nm)時,結合面上所需最小結合壓力Pmin,可按下式計算:
(1)
當過盈聯結承受軸向力為Fx(單位為N)時,結合面上所需的最小結合壓力可按下式計算:
(2)
式中 μ——配合面的摩擦系數
根據彈性力學原理,過盈聯結傳遞負荷所需的最小有效過盈量δemin可按下式計算[3]:
(3)
式中 Ea、Ei——過盈套材料和主軸材料的彈性模量,Pa
Ca、Ci——和包容件(過盈套)與被包容件(主軸)的直徑比有關的系數#p#分頁標題#e#
(4)
(5)

式中 va、vi——過盈套材料和主軸材料的泊松比
必須指出,按式(3)所求的并不是最終所需的最小過盈量,還應考慮以下因素的影響:
(1)配合表面的粗糙度??紤]表面粗糙度影響的修正量δs,等于過盈套結合面的壓平深度sa和主軸結合面的壓平深度si之和的兩倍,即:
(6)
式中 RaH、RaS——過盈套與主軸結合處的表面輪廓算術平均偏差,μm
RzH、RzS——過盈套與主軸結合處的表面微觀不平度十點高度,μm
(2)聯結件的工作溫度與裝配溫度之差,以及主軸與過盈套材料線脹系數之差。此項的修正量為:
δt=d(αiΔti-αaΔta) ?。╩)
式中 αi、αa——主軸與過盈套材料的線脹系數,1/℃
Δti、Δta——主軸、過盈套工作溫度和裝配溫度之差,℃
(3)主軸高速旋轉時過盈套所受到的離心力。該離心力會引起過盈套內孔的擴張,導致過盈量減少。
當主軸材料和過盈套的材料泊松比、彈性模量和密度相差不大時,離心力引起過盈量的減少量δω可由下式求得[4]:
(7)
式中 ω——主軸的轉速,rad/s
ρ——主軸材料和過盈套材料的密度,kg/m3
v——主軸材料和過盈套材料的泊松比
E——主軸材料和過盈套材料的彈性模量,Pa
(4)重復裝卸引起過盈量的減小δp。補償值δp可依據裝拆方法的不同,按經驗方法確定。
(5)結合面形位公差對過盈量的影響。結合面的形位公差,特別是圓度和同軸度公差對過盈聯結強度影響非常復雜,目前尚無定量的補償措施。經有限元分析表明,當圓柱度誤差很小時,盡管軸和套的結合壓力在某種程度上隨著過盈的形狀、位移的大小、狀態而變化,但是它的平均過盈不變,平均結合壓力也大致不變,對聯結強度影響不大。在高速主軸階梯過盈套的設計中,由于主軸的制造精度很高(IT6級以上),因此設計時,如適當提高過盈套配合面的制造精度,則此項影響可以忽略不計。
考慮以上因素后,可求得傳遞力矩或者承受軸向力所需的最小過盈量δmin:
δmin=δemin+δs+δt+δω+δp(8)
在確定過盈套的基本過盈量時,還需要考慮由階梯過盈套結構引起的應力集中、載荷波動的影響和可靠性、安全因素等[4]。取階梯過盈套的基本過盈量:
δb=Kδmin(9)
式中 K——安全系數, K取1.5~2.0
在彈性范圍內,過盈聯結結合面不發生塑性變形時所容許的最大有效過盈量δemax可按下述步驟計算:
根據第四強度理論,過盈套不產生塑性變形所容許的最大結合壓力[3]為:
(10)
式中 σsa——過盈套材料的屈服強度,Pa
同理,主軸結合面不產生塑性變形所容許的最大結合壓力為:
(11)
#p#分頁標題#e#式中 σsi——主軸材料的屈服強度,Pa
比較上述兩式數值,可取較小者作為計算最大有效過盈量結合面容許的最大結合壓力Pmax,最大有效過盈量按下式求得[3]:
(12)
3 過盈套過盈量的實現方法
(1)利用公差配合來實現。根據基本過盈量δb的計算值和配合面的公稱尺寸d,查有關手冊圖表[3],即可得出相應的配合。選出的配合應滿足:最大過盈量[δmax]<δemax,最小過盈量[δmin]>δmin。
(2)利用配合面的公稱尺寸的差值來實現,并選用H4/h4的過渡配合。這種方法容易控制和保證配合的實際過盈量,適用于高精度的零件配合和進行標準化、系列化生產。
4 設計實例
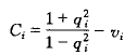
在我們開發的高速數控銑床電主軸中,為了保證主軸的旋轉精度和動平衡精度,對軸承的軸向定位和內裝電機轉子與主軸的聯結均采用階梯過盈套。為說明這一新型聯結裝置的設計方法,下面以聯結電機轉子與主軸的階梯過盈套(如圖3所示)為例,介紹其設計步驟和應用情況。
已知參數有:電機最高轉速18 000r/min,額定轉速1500r/min,額定功率13.5kW,額定轉矩85Nm,電機轉子的寬度260mm,結合處主軸的大端直徑66mm,小端直徑為65.8mm,結合處大小端的配合長度均為52mm,由于轉子硅鋼盤直接壓在過盈套上,在確定過盈聯結參數時,轉子與過盈套可當成一個整體看待,轉子外徑為134.2mm,主軸與套的泊松比va、vi均為0.3,彈性模量Ea、Ei為2.1×105MPa,主軸內孔直徑為25mm,主軸與套結合處的RzS=2μm套內孔的RzH=3.2μm,結合面的摩擦系數μ=0.08。過盈套的材料為65Mn,其屈服極限為800MPa;主軸的材料為38CrMnAl,其屈服極限為850MPa,密度為7.8×103kg/m3。

圖3 高速電主軸電機轉子與主軸聯結的結構圖
1.拆卸用注油孔 2.電機轉子 3.動平衡螺絲孔 4.電機轉子過盈套 5.O型密封圈
4.1 計算傳遞轉矩所需的最小過盈量δmin
(1)確定傳遞轉矩所需的最小有效過盈量δemin。
將上述所列參數代入式(3),可求出:δemin=1.395μm,其中求得的結合處所需最小結合壓力Pmin=1.49MPa。
(2)考慮配合表面粗糙度的影響,根據式(6),計算其修正值δs=4.16μm。
(3)計算高速旋轉時,離心力引起過盈量減小值δω,將有關數據代入式(7),求得δω=31.199μm。
(4)考慮重復裝拆過盈量減小,取補償值δp=8μm。
(5)主軸工作時,過盈套與主軸溫升相差不大,并且二者材料線脹系數幾乎相等,因而δt=0。
綜合考察以上因素,由式(8)可得出傳遞轉矩所需的最小過盈量δmin:
δmin=1.395+4.16+31.199+8=44.754 μm
4.2 計算彈性范圍內最大有效過盈量
按式(10)求出階梯套不產生塑性變形所容許的最大結合壓力為:
Pamax=346.704 MPa
按式(11)求出的主軸結合處不產生塑性變形所容許的最大結合壓力為:
Pimax=363.95 MPa
取較小者作為計算結合面階梯套和軸均不產生塑性變形所允許的最大結合壓力Pmax=346.704MPa,代入式(12)得到不產生塑性變形的最大有效過盈量:#p#分頁標題#e#
δemax=0.324mm=324μm
5 配合的選擇
考慮安全因素,取安全系數K=1.5,基本過盈量按式(9)可得:
δb=1.5×44.754=67.131μm<δemax=324μm
過盈套和主軸都不會發生塑性變形,由δb和d可查有關手冊圖表[3],得配合的基本偏差代號為s。
進一步可選取階梯過盈套大端配合為
66(H6)/(s6(實際最大過盈量是78μm,最小過盈量是40μm)。如前所述,考慮制造形位誤差的影響,階梯過盈套兩配合面的過盈量應有一定差值,以補償形位誤差的影響,因此,取小端的過盈量稍大,為
65.8H6)/(t6(實際最大過盈量是94μm,最小過盈量是56μm)。
由于電機的長度較大,在具體進行結構設計時,兩過盈配合段之間留有一個長度為130mm非接觸段,以形成油腔及脹開過盈套所需的壓力,供拆卸轉子之用;由于大端過盈量較小,為了防止拆卸時高壓油泄漏而引起拆卸困難,在大端非接觸段設計有O型密封裝置,如圖3所示。
6 結論
階梯過盈套是一種用于傳遞扭矩與軸向定位的新型可拆式過盈聯結裝置,具有結構簡單、動平衡特性好、安全可靠等優點,特別適合于高速、高精度主軸單元主軸上零件的軸向定位和傳遞轉矩。本文所介紹的設計方法簡單易行,已在實際電主軸的設計和開發中得到應用。實踐證明,階梯過盈套為改善電主軸的動態性能起到了良好的作用。
相關文章
- 2021-09-08BIM技術叢書Revit軟件應用系列Autodesk Revit族詳解 [
- 2021-09-08全國專業技術人員計算機應用能力考試用書 AutoCAD2004
- 2021-09-08EXCEL在工作中的應用 制表、數據處理及宏應用PDF下載
- 2021-08-30從零開始AutoCAD 2014中文版機械制圖基礎培訓教程 [李
- 2021-08-30從零開始AutoCAD 2014中文版建筑制圖基礎培訓教程 [朱
- 2021-08-30電氣CAD實例教程AutoCAD 2010中文版 [左昉 等編著] 20
- 2021-08-30電影風暴2:Maya影像實拍與三維合成攻略PDF下載
- 2021-08-30高等院校藝術設計案例教程中文版AutoCAD 建筑設計案例
- 2021-08-29環境藝術制圖AutoCAD [徐幼光 編著] 2013年PDF下載
- 2021-08-29機械AutoCAD 項目教程 第3版 [繆希偉 主編] 2012年PDF