數控機床與加工中心是加工制造業的重要設備,而精密機床在高質量加工中必不可少。精密機床正常工作狀態下,工作臺的進給速度往往要求到1cm/min,這就要求精密機床伺服系統具有極佳的低速特性。因而低速性能作為衡量機床伺服系統性能的重要指標越來越引起人們的重視。設法改善數控機床伺服系統的低速性能,對提高機床性能、加工質量及降低成本無疑具有重要的意義。本文以數控機床常用的永磁交流伺服系統為對象,分析了影響系統低速性能的原因,給出了相應的解決辦法,實驗結果證明了方法的可行性和有效性。
系統結構
圖1為數控機床交流伺服系統結構圖。

圖1 數控機床交流伺服系統結構圖
以TI公司的DSP—TMS320F240為控制核心,主要完成電流環、速度環,2/3坐標變換、PWM生成及檢測環節的計算和整個系統的協調工作。主回路采用了IPM智能功率模塊,受控對象為永磁同步電動機,其額定轉速為2000r/min,速度檢測采用每轉產生2000脈沖的光電脈沖編碼器。
影響數控機床伺服系統低速性能的原因
定子電流及齒槽效應的影響
速度波動是衡量伺服系統低速特性一項重要技術指標。該性能指標用轉速不均勻度來表示,如式(1):

Δω為轉速波動,ω為實際轉速,Nmax為穩態運行時瞬時最大轉速,Nmin為穩態運行時最小轉速。轉速擾動是由轉矩擾動引起的。在實際工作過程中,伺服系統的轉矩Te不是恒定不變的,在中高速情況下轉矩擾動對系統的運行特性的影響可以忽略不計。但對于要求在低速下能夠平穩運行的高精度伺服系統而言影響很大。這是因為在低速,特別是在空載情況下,加在電機定子繞組上的控制信號十分微小,擾動信號大小可以與控制信號相比較,甚至超過正常的控制信號,伺服系統輸出的角速度將在擾動力矩作用下產生波動,破壞低速運行的平穩性。永磁同步電動機(PMSM)伺服系統中引起轉速擾動的因素是多方面的。
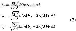
·定子電流的影響
為了產生恒定的轉矩,PMSM的反電動勢和由逆變器輸入定子的相電流都必須是正弦的。然而受外界因素的綜合影響,PMSM三相定子電流并不是正弦,而是引入了一個干擾量ΔI,如式(2)所示。

ΔI的產生是由多方面因素造成的。永磁體的物理形狀和定子齒槽的存在使反電動勢不是理想的正弦; 逆變器輸入定子的電流含有高次諧波;電流檢測漂移; 電流控制存在有相位有滯后等原因都可以產生ΔI,使輸出力矩不理想。
·齒槽效應的影響
影響數控機床伺服系統低速性能的另一個重要因素是伺服電機的齒槽效應所產生的齒槽轉矩。齒槽轉矩是由轉子磁場和定子鐵心相互作用產生。永磁同步電動機的轉子是永磁體,電機的轉子和定子之間的磁阻由于定子齒和槽對應的氣隙不同而不同。當永磁同步電動機勻速旋轉,這些齒和槽交替經過磁極,磁阻的周期性變化產生一個周期性力矩作用于電機軸,這個周期力矩就是齒槽力矩,它與電機轉子磁極位置有關,是電機永磁磁場的幅值和空間位置的函數,它可以使系統產生周期性的轉矩波動,影響伺服系統的低速性能。
#p#分頁標題#e#
干摩擦的影響
執行軸上的干摩擦是影響機床伺服系統低速特性的另一個不良因素。當系統在中高速運行時,摩擦力保持恒定; 在低速運行時,摩擦是電機角速度的函數,圖2給出了低速時摩擦力矩與電機角速度的對應關系。

圖2 摩擦力矩與電機角速度關系圖
低速運行時,當電機運行速度大于ωc,摩擦力矩恒定,系統的運動是平穩的; 當電機速度變化到小于ωc大于ωb范圍時,摩擦力矩變小,小于Mc,輸出轉矩大于負載,電機角速度增加直到ωc,力矩重新平衡,但加速度一直變化; 如果轉速小于ωb摩擦力矩大于輸出力矩,電機不斷減速直到下一個電流采樣周期。這樣就導致伺服系統進行跳動式跟蹤,實際系統的情況要更加復雜。
改善數控機床伺服系統低速性能的方法
對于前面所述的定子電流及齒槽效應對伺服系統低速性能的影響,目前有很多改善方法,如對定子電流的影響,可采取改善電機空間磁場的分布,提高電流檢測精度,減小電流檢測的漂移,對電流控制滯后進行實時補償等方法;對于齒槽效應的影響,可采取增大速度環比例增益,應用特制魯棒調節器,應用轉矩觀測器實時對轉矩擾動進行補償等方法。
本文系統中采用變速度環調節器參數的方法來克服低速時的轉速波動,實驗證明該方法簡單可行,效果良好。
若考慮轉速波動,假設電機角速度轉速為:
ω=ω0+Δω (3)
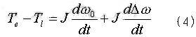
其中ω0為平均角速度,Δω為角速度波動。由運動系統的動力學方程可知:

令ΔT=jDΔω/dt,則考慮ΔT時交流伺服系統簡化后如圖3所示。

圖3 考慮△T時交流伺服系統簡化框圖
根據圖3,力矩擾動引起的轉速變化如式(5)所示,其中Kp為速度調節器比例系數,Ti為速度調節器積分時間常數。增加Kp和減小Ti就可以抑制轉速擾動,提高系統穩態運行時的性能,但在實際系統中Kp的增加和Ti的減小程度都是由限度的。過大的增加比例和積分作用會引起系統震蕩,使系統不穩定。

在實際系統中,我們令Kp和1/T1跟隨系統給定速度變化而變化。具體關系如下:

Kmax是比例系數的最大值,K1max是1/T1的最大值,Kmin是比例系數的最小值,K1min是1/T1的最小值,nup和ndown是兩個特定的速度給定值。
該方法具體實現時還要考慮轉速給定的變化,當給定速度由一個大的數值變化到一個小值時,比例系數和積分系數開始要保持最小值,當誤差減小到一定程度后才能按上述公式進行處理。
對于前面所述的干摩擦的影響,可通過改善潤滑條件,減小摩擦力矩; 增加系統轉動慣量,增大雙環系統中的速度環調節器的比例系數; 增加閉環系統阻尼比等方法改善。
本文系統中采用了一種變結構的控制方法。這種方法是系統低速時,在保留電流環和速度環的基礎上,加入了轉子位置環,采用如圖4所示的結構。當合理的選擇位置環的調節器的參數時,這種方法可以有效的克服低速時伺服系統電機軸上干摩擦的影響,使伺服系統平穩的運行。
#p#分頁標題#e#
圖4 加入位置環的系統部分結構圖
實驗結果
圖5是利用圖1所示的系統,在給定轉速1r/min時所測得的定子電流波形。由實驗結果可見,應用本文提出的方法有效的改善了系統的低速性能。

圖5 轉速為1r/min穩態運行時的定子電流波形
結束語
本文分析了影響交流調速系統低速性能的原因,并給出了具體的解決方法,在不增加任何硬件資源的條件下獲得了較好的性能。實驗結果證明了該方法簡單、有效、可行。