1 引言
2 球頭銑刀螺旋形刃口曲線設計中的問題
- 假設刃線與刀具表面經線成b角,根據銑刀螺旋形刃線的定義①(刃口曲線與回轉體刀具表面經線成定角),其交角公式為
(4)- 由式(4)推導可得
(5)- 雖然根據定義①可按式(5)進行刃口曲線設計,但在數控加工時往往不能實現一次成形(除非前刀面與其它部分的溝槽曲面分兩道工序加工)。若采用砂輪一次成形,則在砂輪接近球頂時會發生過切。由于在約1 / 7 球面半徑的球頂區域存在問題,因此必須用別的刃形來替代這段螺旋刃口曲線。
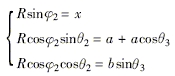
- 根據銑刀螺旋形刃線的定義②(刃線切線與回轉體刀具軸線成定角)可得到如下交角公式:
(6)- 由式(6)推導可得
(7)- 顯然,當Ø≥b 時,式(7)無意義,即在Ø∈[b,p/2]時,不存在與刀具軸線成b 角的球面曲線。因此,根據定義②仍無法獲得銑刀球頂附近相應區域(Ø∈[b,p/2])內的相應刃線,該區域的刃線仍需用別的刃形來替代。 #p#分頁標題#e#
- 由以上分析可見,銑刀螺旋形刃線定義①、②均有其不足之處。為此,我們提出一種銑刀螺旋形刃線設計新方法———橢圓形刃口曲線成形原理,并建立了新的幾何模型。
- 由式(4)推導可得
3 球頭銑刀橢圓形刃口曲線的成形原理與幾何模型
4 結語
相關文章
- 2021-09-08BIM技術叢書Revit軟件應用系列Autodesk Revit族詳解 [
- 2021-09-08全國專業技術人員計算機應用能力考試用書 AutoCAD2004
- 2021-09-08EXCEL在工作中的應用 制表、數據處理及宏應用PDF下載
- 2021-08-30從零開始AutoCAD 2014中文版機械制圖基礎培訓教程 [李
- 2021-08-30從零開始AutoCAD 2014中文版建筑制圖基礎培訓教程 [朱
- 2021-08-30電氣CAD實例教程AutoCAD 2010中文版 [左昉 等編著] 20
- 2021-08-30電影風暴2:Maya影像實拍與三維合成攻略PDF下載
- 2021-08-30高等院校藝術設計案例教程中文版AutoCAD 建筑設計案例
- 2021-08-29環境藝術制圖AutoCAD [徐幼光 編著] 2013年PDF下載
- 2021-08-29機械AutoCAD 項目教程 第3版 [繆希偉 主編] 2012年PDF

(9)
(11)
(12)
(14)
(18)
(19)
(20)