隨著重型機器的發展,常常需要對大型整體零件和幾何形狀復雜的工件進行加工。傳統的龍門鏜銑床龍門柱固定,載有工件的工作臺沿導軌縱向進給。由于機床運動部件重量大,難以獲得高的加速度;同時因受工作臺長度的限制以及節省工作場所占地面積的要求,龍門柱固定式結構鏜銑床對于大型工件的高速加工已遠遠不能滿足要求。而高速龍門移動式鏜銑床,在滿足動、靜態剛度的情況下,讓工作臺與工件保持靜止,使龍門柱沿導軌縱向進給,因為立柱的運動質量相對較小,所以可以獲得高的加速度特性。然而,由于橫梁及其相匹配的刀架,龍門及其相匹配的部件等所組成的大型移動部件,并不總是形成對稱結構與對稱受力,以及運行中的各種不確定性擾動,盡管龍門柱兩邊采用完全相同的傳動機構,但最終還是不能保證龍門框架兩邊立柱移動的一致性,這種不一致性產生的機械耦合可能使龍門框架驅動部件和被加工工件受到損壞。所以,兩邊立柱的同步傳動是這類機床消除機械耦合,避免機械損壞,保證加工精度的關鍵技術。
為了解決刀架在橫梁位置變化所引起的立柱兩邊等效慣量的變化破壞輸出的動態同步性能,采用負載動態補償方法調整比例增益,使兩電機保持同步。近年來,智能控制發展十分迅速,特別是模糊控制不完全依賴對象的數學模型,適于對具有不確定性的系統和非線性系統進行控制,有利于解決許多經典控制難以解決的問題。本文引入模糊PID控制器作為速度調節器,有效的利用了模糊控制的優點,從而提高了同步控制精度。
龍門移動式鏜銑床的結構及耦合
圖1是雙直線電機驅動的龍門移動式鏜銑床結構示意圖。兩臺直線電機分別驅動兩個立柱,一個控制回路的輸入通過機械耦合作用影響另一個控制回路的輸出,任一單回路的干擾,不僅影響本回路的輸出,也會通過橫梁影響另一回路的輸出,即干擾互相耦合,兩臺驅動電機輸出端存在機械耦合。

圖1直線電機驅動的龍門移動式鏜銑床結構
直線永磁伺服電機(LPMSM)數學模型
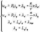
LPMSM的d-q軸模型電壓方程及磁鏈方程為:
(1)
式中,Rs為動子電阻;ud,uq,id,iq,Ld,Lq,λd,λq分別為d、q軸動子電壓、電流、電感和磁鏈;τ為動子速度;λp/d為極距;為定子永磁體勵磁磁鏈。
對LPMSM進行矢量控制,使動子電流矢量與定子永磁體磁場在空間正交,即使id=0,則:
(2)
其中,kT為推力系數
運動方程
(3)
其中FL為負載阻力;FE為端部效應產生的等效阻力;D為粘滯摩擦系數;m為動子及其所帶負載的質量。
系統的控制結構
在龍門移動式鏜銑床的同步伺服系統中,兩個伺服子系統按同一速度給定信號運動,定義其中一個伺服系統為主動軸,另一個為從動軸,就構成了獨立的主—從驅動方式。通過對直線電機進行推力控制,使兩軸保持同步。本文采用主從控制結構,僅對主動電機使用位置控制。主動電機的位置控制器輸出當作從動電機的速度命令信號,當主動電機受到外界干擾產生位置反饋的變化,從動電機的參考速度與主動電機的參考速度一樣也隨之變化,這樣將提高控制系統耦合結構的安全系數。同步控制系統結構原理圖如圖2所示。其中,P2為位置前饋控制器;P1為位置比例控制器;模糊PID控制器為速度控制器,以實現對輸入信號的快速精確響應;PI控制器對動態變形力補償,防止高速運行下,過大的雙軸同步誤差對系統造成危害。#p#分頁標題#e#

圖2 同步控制系統結構原理圖
負載動態補償設計
當龍門移動式鏜銑加工中心實現二維運動控制時,Y軸直線電機驅動的刀架位置變化往往會導致X軸直線電機等效慣量的改變,其中,從動電機由于不具有獨立的定位控制,容易受到等效慣量的改變而影響輸出,進而影響兩個X軸的輸出同步。這就要求采用負載動態補償的方法,調整比例增益并給X軸從動電機以控制補償,使得系統能夠保持同步運行。當電機等效慣量增加的時候,它的電流輸入與速度輸出之間的傳遞函數將會產生變化,即l/△mb->l/(mb+△m)。負載動態補償的原理正是利用一個權重調整電流輸入與速度輸出間的傳遞函數,使其保持W/mb=W'/(mb+△m)的恒定關系,則W'=(1+△m/mb)*W。即為負載動態調變增益。其中W只是一個比例值,可定義為1。設計W`只需要求得△m即可。如圖3所示,定義長度e、f、g、h、及諸質量重心m1、m2、m3和A、B兩點。利用力矩平衡原理可以計算出B點承受結構(含m1、m2)等效質量△m的大小。
通過負載動態調變增益的補償,即使從動電機等效慣量產生變化,其速度輸出影響也不會因此受到影響,使系統仍維持良好的同步響應。

圖3力矩平衡示意圖
模糊PID控制器的設計
根據模糊控制理論設計模糊控制器。定義系統誤差|e|和誤差的變化率|ec|作為模糊控制器的輸入量,其中
e=yd-y (4)
ec=△e (5)
Kp,Ki,Kd為輸出,即此模糊控制器為兩輸入三輸出形式。輸入語言變量 和 的論域均為{-6, -5, -4, -3, -2, -l, 0, l, 2, 3, 4, 5, 6},輸出語言變量Kp,Ki,Kd的論域均為{ 0, l, 2, 3, 4, 5, 6}。通過總結以往工程實際操作經驗得到e、ec的隸屬度函數和PID參數Kp,Ki,Kd的控制規則表。并設計出模糊PID控制器。Kp,Ki,Kd的控制規則如表1-3所示:

系統的仿真
采用兩臺參數完全相同的直線電機進行仿真研究,參數如下:
M=11.0kg
D=2.0N.s/m
KT=27.5N/A
Fe=200N
控制器參數:P1=12、P2=1、PI=0.0583+0.213/S。當時間為0.5s時,在X軸輸入幅值為0.4m的階躍信號為位置信號。針對Y軸負載重心的變化,本研究以負載動態補償消除從動電機因為等效慣量的變化而造成的影響,并加上模糊PID控制器進行調節。圖4為無負載動態補償和模糊PID控制時系統的位置誤差響應曲線,圖5為加入負載動態補償和模糊PID控制之后的位置誤差響應曲線,可以看出模糊PID控制和負載動態補償的加入大大提高了兩直線電機的同步精度。

圖4無負載動態補償和模糊PID控制的位置誤差響應曲線

圖5有負載動態補償和模糊PID控制后位置誤差響應曲線
結語
本文在分析龍門移動式鏜銑床中雙直線電機驅動的X軸上兩直線電機間不同步的主要原因的基礎上,提出了模糊PID和負載動態補償的控制方法。由仿真曲線可以看到,模糊PID控制和負載動態補償的加入大大提高了兩直線電機的同步精度。#p#分頁標題#e#
相關文章
- 2021-09-08BIM技術叢書Revit軟件應用系列Autodesk Revit族詳解 [
- 2021-09-08全國專業技術人員計算機應用能力考試用書 AutoCAD2004
- 2021-09-08EXCEL在工作中的應用 制表、數據處理及宏應用PDF下載
- 2021-08-30從零開始AutoCAD 2014中文版機械制圖基礎培訓教程 [李
- 2021-08-30從零開始AutoCAD 2014中文版建筑制圖基礎培訓教程 [朱
- 2021-08-30電氣CAD實例教程AutoCAD 2010中文版 [左昉 等編著] 20
- 2021-08-30電影風暴2:Maya影像實拍與三維合成攻略PDF下載
- 2021-08-30高等院校藝術設計案例教程中文版AutoCAD 建筑設計案例
- 2021-08-29環境藝術制圖AutoCAD [徐幼光 編著] 2013年PDF下載
- 2021-08-29機械AutoCAD 項目教程 第3版 [繆希偉 主編] 2012年PDF