1 前言
金屬切削過程是一個非線性動力學系統。在金屬切削過程中存在著金屬的彈塑性變形,切屑形成過程涉及到材料非線性、幾何非線性、狀態非線性問題。采用有限元法模擬金屬切削過程在切削參數對加工過程的影響、切屑的形態以及切削過程刀具與工件的接觸等方面都起到一定的作用。計算機技術的發展推動了金屬切削加工模擬技術的進步,有限元法應用于加工過程的模擬,具有動態性、高度非線性等特點。這使切削過程中刀具—工件—切屑三者的局部動態變化更形象化、可視化,為分析金屬切削過程機理提供了有力的工具。切屑的分離準是切削有限元模型的關鍵問題之一。本文采用Johnson-cook 本構模型來實現金屬切削過程的仿真。
2 二維金屬切削有限元模型
2.1 幾何模型
在金屬切削機理的研究中,多采用二維正交切削模型,將金屬切削加工簡化為二維平面應變問題來研究切削過程中的力學特性。二維正交切削模型如圖1 所示。工件底部和側面下部固定約束,刀具約束Y 方向的自由度。

圖1 二維正交切削有限元模型
2.2 網格劃分
二維切削模型采用熱-位移耦合的模型,刀具和工件的網格劃分均采用縮減積分的四節點雙線性熱里耦合網格(CPER4RT)單元,如圖2。將工件中與刀具接觸部分的縱向采用非均勻的比例畫法加密網格,同時將刀具中刀尖區域網格網格細化,以避免刀具與切屑接觸產生切屑侵入刀體。

圖2 工件以及刀具的網格劃分
2.3 材料本構模型
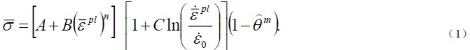
Abaqus 提供了多中材料的模型,有限元分析過程中應根據分析問題考慮采用何種本構模型。本構模型的與否合理直接影響著分析結果的正確性和仿真的準確性。本文采用適用于金屬大變形的、描述材料高應變率下熱粘塑性問題的Johnson-cook 模型(J-C 模型)。模型中屈服應力計算如下:

計算式有三項組成:第一項描述了材料的應變強化效應,第二項反映了流動應力隨對數應變率增加的關系,第三項反映了流動應力隨溫度升高指數降低的關系。A為準靜態下的屈服強度,B,n為應變硬化參數,
為等效塑性應變,
為等效塑性應變率,C為應變率強化參數,m為熱軟化參數,
為非線性溫度,由材料熔點溫度與常溫之比。對于TC4 鈦合金取材料參數見表1:
表1 TC4 材料的Johnson-cook 本構模型參數

2.4 模擬結果
對TC4 材料進行加工模擬:工件尺寸6mm×1.2mm,切削厚度0.4mm,切削速度v= 300 m/min.采用Abaqus/Explicit顯式分析建立的二維切削模型,模擬加工后的效果見圖3 和圖4。圖3 給出了模擬后的應力分布圖,圖4 給出加工后的溫度分布圖。由圖3 可知,切削過程中剪切第一變形區應力最大;溫度的最大值也出現在刀尖前端的剪切區,最大值為616.5℃。

圖3 分析后的應力分布圖

圖4 分析后的溫度分布圖
圖5 給出了切削過程中的主切削力的值。由圖5 可以看出x 方向的切削力成周期性的波動,這與切削過程中產生的鋸齒節有關。切削力的平均值約為500N。

圖5 x 方向切削力
3 結論
(1)采用Abaqus/Explicit 顯式分析建立了二維金屬切削有限元模型。
(2)對TC4 鈦合金進行切削仿真,獲得了切削過程的應力、溫度的分布。
(3)仿真模型通過試驗驗證可對實際加工具有優化的意義。
相關文章
- 2021-09-08BIM技術叢書Revit軟件應用系列Autodesk Revit族詳解 [
- 2021-09-08全國專業技術人員計算機應用能力考試用書 AutoCAD2004
- 2021-09-08EXCEL在工作中的應用 制表、數據處理及宏應用PDF下載
- 2021-08-30從零開始AutoCAD 2014中文版機械制圖基礎培訓教程 [李
- 2021-08-30從零開始AutoCAD 2014中文版建筑制圖基礎培訓教程 [朱
- 2021-08-30電氣CAD實例教程AutoCAD 2010中文版 [左昉 等編著] 20
- 2021-08-30電影風暴2:Maya影像實拍與三維合成攻略PDF下載
- 2021-08-30高等院校藝術設計案例教程中文版AutoCAD 建筑設計案例
- 2021-08-29環境藝術制圖AutoCAD [徐幼光 編著] 2013年PDF下載
- 2021-08-29機械AutoCAD 項目教程 第3版 [繆希偉 主編] 2012年PDF