1 引言
大功率高亮度發光二極管(LED)是2l世紀最具發展前景的一種新型冷光源。它的發光機理是靠PN結中的電子在能帶間躍遷產生光能,當它在外加電場作用下,電子與空穴的輻射復合發生電致作用將一部分能量轉化為光能,而無輻射復合產生的晶格震蕩將其余的能量轉化為熱能。由于光譜中不含紅外成分,產生的熱量不能靠輻射散發,故稱LED為冷光源。
目前LED只有10%一25%的電能轉化為光能,其余的能量轉化為熱能,如果LED芯片中的熱量不能及時散發出去,會加速器件的老化,一旦LED的溫度超過最高I臨界溫度,往往會造成LED永久性失效。據報道,LED在30℃下工作的壽命比在70℃下工作時長20倍,因此散熱技術是LED燈具設計的關鍵技術之一。
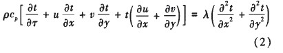
熱交換是通過導熱、對流換熱和輻射換熱三種基本方式進行的,可分為瞬態熱交換和穩態熱交換。一般來說,LED燈具溫度控制在100℃以下,工程分析中可不考慮輻射換熱。對于連續介質,設某一時刻下,物體內所有各點在直角坐標系中的溫度場為t=f(x,Y,z,r),導熱的微分方程可表達如下:

式中:P——密度,單位kg/
;
c——比熱容,單位J/(kg·K);
λ——熱導率(導熱系數),單位為W/(m·K);
Φ——內熱源強度,單位W/
。
對于連續介質,二維對流換熱的能量微分方程如下:

式中
——比定壓熱容,對于固體和不可壓縮流體,
=c;u,移分別為x,y方向的速度。
上述熱交換的矩陣形式如下:
![]()
式中[C(T)]——比熱矩陣;
[K(r)]——傳導矩陣,包含導熱系數和對流系數;
{T}——節點溫度向量;
{T}——溫度對時間的導數;
[Q(r)]——節點熱流向量。
2 分析項目描述
(1)燈體描述

圖1 LED燈具模型
分析模型是一款某大型公司的LED燈具,外形規格Φ48×38,安裝3顆1W的標準LED,安裝直徑ψ12(均布)。
(2)燈體模型簡化
為了節省計算機資源的開支,由燈具的對稱性,取1/3模型進行簡化分析(圖2),單顆LED的封裝結構及元器件組成見圖3和圖4:

圖2 簡化模型

圖3 LED封裝結構圖

圖4 單顆LED組成圖
簡化后的模型包括:燈體、鋁基板、熱沉和LED發光芯片。LED封裝的塑料部分(熱阻很大)、透鏡、襯底及細導線等可省略。
根據文獻,1W單顆LED熱輻射帶走的熱量約為總熱量的1.63%,只考慮熱傳導與對流,改變不同封裝填充材料,對熱導溫度的降低影響不大(即使找到一種熱導率高達7 W/m·K的環氧樹脂成分封裝材料時,相比使用熱導率僅為0.25 W/m·K的環氧樹脂成分封裝材料時,芯片溫度下降不多,鋁基板溫度只下降了2.27l℃,實際上,熱導率超過7W/m·K以上可商業化的透明硅樹脂封裝材料目前尚無文獻報導),LED芯片通過銀膠與熱沉導熱,熱沉與鋁基板及鋁基板與燈杯均通過硅膠導熱,元件緊密結合,通常硅膠結合厚度為um級。為便于分析,可以忽略銀膠和硅膠的影響。LED熱沉材料常采用鍍銀銅,考慮到銅材純度及銀膠對熱導的影響,實際導熱系數比銅略低。
LED芯片的熱承受力不大于110℃,考慮安全裕度(一般取為10~15℃),芯片PN結溫度不得大于95℃,該值也常作為熱設計的參考閥值。
建立有限元模型時,考慮到網格劃分,刪除了對結果影響不大的圓角、小孔和部分小特征。
(3)若干關鍵問題討論
1)燈體材料
燈體材料的選擇主要考慮材料的導熱能力、價格及工藝性。導熱系數的大小表明金屬導熱能力的大小,導熱系數越大,熱阻越低,導熱能力越強,導熱系數的大小通常是通過實驗的方法來確定的。在金屬材料中,鉆石和銀的導熱系數最高(見表1),但成本太高;純銅其次,但加工不容易。LED散熱燈殼一般采用鋁合金6063T5,這是因為鋁合金的加工性好(純鋁由于硬度不足,很難進行切削加工)、表面處理容易、成本低廉,通常由壓鑄或擠壓成型,實驗表明,熱導率約為純鋁的1/2,隨著溫度上升,鋁合金的熱導系數呈增大的趨勢,分析中忽略了鋁合金熱導系數隨溫度的變化。
表1 金屬導熱系數表

2)空氣對流系數:
熱交換過程廣泛地存在于管內自然或強迫對流流動、氣體外掠平板等其他現象中。由于熱交換的計算關聯式很難給出比較精確的計算結果,并且使用時很容易出現錯誤,所以通常情況下我們建議使用一些經驗的數據。空氣對流系數經驗公式如下
內表面:
![]()
外表面:
![]()
式中h——空氣對流系數;
v——空氣流速。
一塊0.2
水平放置的平板,在自然對流情況下與空氣的對流換熱系數大約為5W/
K,在空氣流速為3m/s的強迫對流情況下與空氣的對流換熱系數大約為15W/
K,考慮到該款LED燈多用于室內封閉環境,燈具外部對流系數取為5W/
K,燈具內部對流環境取為2.5W/
K,CAE分析時取燈具的環境溫度為室溫25℃。
3)發熱量
散熱問題是功率型LED需要解決的一個重點問題,散熱效果的優劣直接關系到器件的可靠性。大家知道,增加LED的輸入功率,LED的亮度會成比例地增強,但由于LED的效率遠遠低于100%,目前功率型LED只能將少數部分電能轉化為光能,而剩下的約80%的能鼉轉換為熱能,考慮電源發熱、輻射換熱及其他能量交換,根據經驗可取發熱量為LED功率的80%,本模型中的發熱量約為0.8W,芯片標稱尺寸為1×1×0.25mm,發熱率為3.2W/m
,為了模擬芯片均勻發熱,芯片的熱阻取為一個較小值。
3 ANSYS分析及實驗測試
熱分析有限元軟件采用在CAE(Computer Aided Engineering)行業領先的ANSYS軟件。ANSYS軟件是融結構、流體、電場、磁場、聲場分析于一體的大型通用有限元分析軟件。由世界上最大的有限元分析軟件公司之一的美國ANSYS開發,是現代產品設計中的高級CAD工具之一。程序可處理熱傳遞的三種基本類型:傳導、對流和輻射,熱傳遞的三種類型均可進行穩態和瞬態、線性和非線性分析。本次進行的是穩態熱交換分析。
ANSYS有限元分析結果主要包括溫度分布、溫度梯度及熱流密度(圖5一圖8)。

圖5 溫度分布

圖6 溫度分布關鍵點值

圖7 溫度梯度

圖8 熱流密度
我們選擇了3個樣品進行溫度測試(測試點見圖9),光源分別為Cree(2個)和Handson(1個),測試設備為多點溫度巡檢儀(型號TMP一2,如圖10),采用熱電偶溫度測試原理,測試結果如表2,測試環境為室溫26.9℃,密閉房間。

圖9 燈具測試點示意圖
表2 LED燈體溫度測試結果


圖10多點溫度巡檢儀TMP-2
4 結果分析
ANSYS分析結果顯示,最高溫度出現在芯片及引腳部位,為66.27℃(遠小于95℃),最低溫度為燈具外殼大端面處(外殼點3),為53.82℃,一般來說,LED燈具的外殼設計溫度須低于60℃。分析結果也顯示了溫度梯度及熱傳遞矢量,可用于指導燈具元件的布局。熱通主要集中在熱沉和鋁基板的結合區域,為熱導的主要通道,更換不同廠商的光源,在相同的燈具功率下,溫度分布及其溫度梯度差異不大,與設計時的CAE分析結果對比如表3。
ANSYS分析是在室溫25℃的密封環境下,外殼最低溫度為53.82℃,中心溫度66.27℃,換算到測試溫度(26.9℃)下分別約55.7℃、68.2℃。考慮到測試設備、測試環境和有限元模型的簡化,存在一定的誤差,最大誤差為3.5℃,中心引腳和外殼溫度最大誤差率分別為:
表3 實驗測試溫度與CAE分析結果對比

利用先進的計算機仿真分析,在設計時,我們就能比較準確的把握產品的溫度分布情況,針對溫升比較集中的地方進行散熱結構改進、優化,滿足客戶和設計的需求,從而提升產品的質量和性能。
相關文章
- 2021-08-29環境藝術制圖AutoCAD [徐幼光 編著] 2013年PDF下載
- 2021-07-31Autodesk EcotectAnalysis2011綠色建筑分析應用全彩 [
- 2021-06-11AutoCAD工程制圖及案例分析PDF下載
- 2021-06-06AutoCAD機械制圖技巧及難點分析PDF下載
- 2021-05-29Autodesk Ecotect Analysis綠色建筑分析應用(全彩)2011
- 2016-02-16電器潔具燈具常用CAD平面立面圖塊下載
- 2015-08-17金螳螂揚州LED會所詳細施工設計圖下載
- 2014-09-04南京華匯康城A區售樓處環境景觀施工圖
- 2014-03-05桐鄉市老人公寓環境全套施工圖CAD圖紙下載
- 2014-03-05浙江臺州北新椒商業街全套環境景觀施工圖