Pro/ENGINEER是美國參數化技術公司PTC推出的集產品設計到生產的完整的CAD/CAE/CAM軟件。其具有強大基于特征的參數化建模功能,用參數化建模來約束產品模型的形狀特征,控制設計結果,并有能通過修改相應設計參數,生成新的零件三維實體造型的功效。
在很多用Pro/ENGINEER齒輪建模的文章中,都采用了如下的建模步驟:
1)創建用戶參數,也就是齒輪的幾何參數;2)通過關系對話框添加分度圓直徑、基圓直徑、齒根圓直徑及齒頂圓的約束關系式,通過再生模型最終生成標準齒輪基本圓基準曲線;3)創建齒廓漸開線特性,即通過方程創建漸開線,然后鏡像漸開線、創建齒廓截面特征完成一個齒的截面圖形;4)通過拉伸得到單個齒的直齒三維圖形或者是通過創建螺旋線在通過掃描混合得到單個斜齒的三維圖形;5)通過陣列得到齒輪齒部的三維模型,到此一個齒輪的Pro/ENGINEER模型就基本完成。
本文要探討的就是在創建一條漸開線后鏡像另外一條漸開線時所涉及的鏡像角度問題,在筆者所看到的用Pro/ENGINEER齒輪建模的文章中,作者都采用了
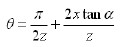
來生成基準平面用于鏡像漸開線,從而確定單個齒的截面圖形。筆者認為這樣確定的角度只適合標準齒輪,也就是說當分度圓處齒厚與齒槽寬相等時,而當齒輪是變位齒輪時情況并不是這樣。

如圖1所示,在Pro/ENGINEER中“方程生成的第一條漸開線”與分度圓交于一點A ,通過點A和齒輪中心做一基準平面P,然后根據標準齒輪分度圓處齒厚與齒槽寬相等這一特點即可通過
得到鏡像面B,最后將漸開線鏡像得到“鏡像得漸開線”,最終由齒頂圓、齒根圓、兩條漸開線就圍成了一個齒的界面圖形,拉伸或螺旋掃描得到一個齒,陣列得到齒輪模型,這樣建模的一個重要前提是齒輪屬于標準齒輪,即分度圓處齒厚與齒槽寬相等。但是當齒輪為變位齒輪時分度圓處的齒厚與齒槽寬不相等,所以鏡像角度就不能采用
這 個公式來計算!但可以通過計算變位齒輪的分度圓弦齒厚
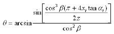
求出鏡像漸開線時用的角度,公式為:

根據齒輪的相關知識可以得出
的關系式如下:
變位直齒輪:

變位斜齒輪:

式中:(4)聯合公式(1)、(2)、(3)、(4)可以得出以下結論:
變位直齒輪:
變位斜齒輪:
計算出鏡像角度后就可以得出齒形,直齒輪通過截面齒形就可以直接拉伸得到單個齒的模型。對于斜齒輪得出的是法向截面齒形,再通過方程建立螺旋線,然后將法向截面齒形沿著螺旋線掃描即可。
以下面一變位直齒輪為例,參數如下:

如果應用
這個公式得出的角度θ=7.5º,而實際的鏡像角度為
,分別將這兩個公式計算出的結果創建三維齒形進行比對。
(1)先以
計算出的角度7.5º為鏡像角度,可以得出單個齒的模型如圖2所示,“2”代表漸開線的鏡像中心平面,“DTM1”是既通過分度圓與漸開線交點、又通過齒輪中心的基準面,“2”平面與“DTM1”基準平面的夾角為7.5º??梢詮膱D2中看出,鏡像得到的兩條漸開線所包圍組成的單個齒齒頂與已知的齒頂圓(藍色最大圓) 還有一些距離,說明這個鏡像得到的單 個齒與已知齒輪參數是矛盾的,陣列完整齒數后得到圖3,所以很容易得出由
這個公式所求出的鏡像角度是錯誤的。


(2)再以
計算得到的角度9.41º為鏡像角度,可以得出單個齒的模型如圖4和圖5所示,“1”代表漸開線的鏡像中心平面,“DTM1”是同圖1一樣的基準面,“1”平面與“DTM1”基準平面的夾角為9.41º,圖中粗紅線分別代表分度圓和漸開線,此漸開線與(1)中漸開線為同一漸開線。通過測量模型中的齒厚,結構與實際參數完全相符,圖6為完整齒輪圖,驗證得到此 角度為正確的鏡像角度。


經過對比,從圖7(前面黃色齒為7.5º鏡像所作出的齒,后面的為9.41º所 生成的齒)就能明顯看出,盡管用同一齒輪參數但通過兩種不同的角度計算方法得出的結果完全不同,所以說簡單的用標準齒輪的齒厚與齒槽相等的計算辦法計算漸開線的鏡像角度是不完整的,而利用筆者導出的方程可以正確地計算出無論是標準齒輪還是變位齒輪的鏡像角度,從而建立一個準確的齒輪模型。
目前大多變速箱上使用的都是變位齒輪,所以在用Pro/ENGINEER創建齒輪模型時必須搞清楚這個鏡像角度,否則創建出來的齒輪模型只是“像”,跟實際齒輪參數并不相符。本文通過對變位齒輪分度圓弦齒厚的計算得出了準確的角度計算公式,從而得到精確的齒輪模型,這為后期做有限元分析、裝配和運動仿真等都有重要的意義。


相關文章
- 2021-09-08BIM技術叢書Revit軟件應用系列Autodesk Revit族詳解 [
- 2021-09-08全國專業技術人員計算機應用能力考試用書 AutoCAD2004
- 2021-09-08EXCEL在工作中的應用 制表、數據處理及宏應用PDF下載
- 2021-08-30從零開始AutoCAD 2014中文版機械制圖基礎培訓教程 [李
- 2021-08-30從零開始AutoCAD 2014中文版建筑制圖基礎培訓教程 [朱
- 2021-08-30電氣CAD實例教程AutoCAD 2010中文版 [左昉 等編著] 20
- 2021-08-30電影風暴2:Maya影像實拍與三維合成攻略PDF下載
- 2021-08-30高等院校藝術設計案例教程中文版AutoCAD 建筑設計案例
- 2021-08-29環境藝術制圖AutoCAD [徐幼光 編著] 2013年PDF下載
- 2021-08-29機械AutoCAD 項目教程 第3版 [繆希偉 主編] 2012年PDF