1 漸開線圓柱齒輪模型的創建過程
1.1 漸開線方程
如圖1所示.當用直角坐標系來表示漸開線時。其方程為
式中 u=tan(ak)——漸開線任一點k的滾動角;
ak——漸開線在點k的壓力角;
rb——基園半徑。

圖1 漸開線坐標系
齒數/個 25
模數/mm 3
壓力角/ 20
齒寬/mm 10
齒頂高系數 1
齒根高系數。 1.25
分度圓直徑/mm 75
齒頂圓直徑/mm 81
齒根網直徑/mm 67.5
基圓直徑/mm 70.477
1.2.2 建立漸開線
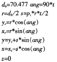
插入基準曲線按鈕,彈出菜單管理器,選擇“從方程”,單擊完成,彈出窗體,選取坐標系PRT-CSYS-DEF,坐標系類型定義選擇笛卡兒坐標系:定義方程,在彈出的記事本中輸入以下漸開線方程并保存。
在“曲線:從方程”窗口單擊確定,創建的漸開線如圖2所示。

圖2 漸開線
1.2.3 創建齒形曲線
選取FRONT面為草繪平面,參照平面為RIGHT,繪制如圖4所示,生成齒形曲線。
具體過程:創建齒頂圓,分度圓,齒根圓,基圓曲線。利用漸開線與分度圓的交點處創建基準點PNT0,在TOP面和RIGHT面相交處創建-基準軸A-l。再利用所創建的基準點PNTO和基準軸線A-1創建基準平面DTMl。對于標準齒輪,在分度圓上的齒寬和齒槽寬相等,因此對應的圓周角也相等,其值為360/(2xZ),要創建齒廓的另一條漸開線,可將已知的漸開線進行鏡像,鏡像平面應該是某個輪齒的對稱面。這個對稱面DTM2可以通過DTMl繞A-l軸旋轉360/(2xZ)=3.6得到。單擊鏡像工具按鈕,選擇DTM2為鏡像平面,得到第2條漸開線,如圖3所示。剪掉多余部分形成齒形曲線如圖4所示。

圖3 鏡像漸開線
1.2.4 創建漸開線圓柱齒輪實體齒形
在“拉伸”操控面板設置好拉伸方向。拉伸方式,拉伸深度為10mm,得到第一個齒輪。如圖5所示用環形陣列復制實體齒形如圖6所示。用拉伸、去除材料、倒角等命令完成齒輪造型如圖7所示。
2 結語
本文基于Pro/ENGINEER平臺實現了漸開線圓柱齒輪實體的精確化建模,解決了齒廓造型的難題??纱蟠筇岣咴O計速度和造型的精度,具有廣泛的應用價值。
相關文章
- 2021-09-08BIM技術叢書Revit軟件應用系列Autodesk Revit族詳解 [
- 2021-09-08全國專業技術人員計算機應用能力考試用書 AutoCAD2004
- 2021-09-08EXCEL在工作中的應用 制表、數據處理及宏應用PDF下載
- 2021-08-30從零開始AutoCAD 2014中文版機械制圖基礎培訓教程 [李
- 2021-08-30從零開始AutoCAD 2014中文版建筑制圖基礎培訓教程 [朱
- 2021-08-30電氣CAD實例教程AutoCAD 2010中文版 [左昉 等編著] 20
- 2021-08-30電影風暴2:Maya影像實拍與三維合成攻略PDF下載
- 2021-08-30高等院校藝術設計案例教程中文版AutoCAD 建筑設計案例
- 2021-08-29環境藝術制圖AutoCAD [徐幼光 編著] 2013年PDF下載
- 2021-08-29機械AutoCAD 項目教程 第3版 [繆希偉 主編] 2012年PDF