引言
副車架是當前主流轎車底盤的重要組成部分,懸掛通過副車架與車身相連,車輛與地面之間產生的振動通過副車架的緩沖后再傳遞到車身,降低了振動,提升了乘坐舒適性、底盤強度和操控性,同時也提高了裝配便利性及設計通用性,如圖1所示。副車架的結構形式、剛度及強度對整車耐久性、舒適性、操控性有很大影響,是衡量轎車底盤設計水平的重要參考依據。轎車副車架的模態、靜剛度&強度、疲勞耐久性成為設計人員首先關注的指標項,轎車副車架輕量化技術方面的研究備受關注。德國蒂森克虜伯公司采用多相鋼CP-W800材料,利用結構優化技術,綜合考慮經濟性及工藝性,設計出的SLC鋼制副車架與其BENCHMARK目標(一款鋁合金副車架)相比,輕量化程度、剛度和耐久性相當,但經濟性提高了40%。國內研究人員也開始利用有限元技術進行副車架結構優化方面的研究工作。本文擬在副車架極限工況剛度、強度分析的基礎上,引入拓撲優化技術,探討副車架輕量化設計方法,制定副車架結構優化CAE流程,并直接應用于幾款轎車副車架的強度分析、減重優化和概念模型設計中,研究結果對轎車副車架結構優化設計具有指導意義。

圖1 轎車前、后副車架示意圖
1 基于拓撲優化的結構優化理論
連續體拓撲優化是通過優化設計域內材料位置和數量的配置,在滿足一定條件的情況下,使載荷通過最佳傳遞路徑到達結構的支撐邊界處。剛度目標和強度要求是結構件設計必須考慮的設計指標,也是結構件拓撲優化的常用方式。下面給出剛度目標和強度約束拓撲優化問題的基本理論。
1.1 剛度目標拓撲優化
結構優化中剛度目標一般用柔順性來表示,結構柔順性的具體表達形式如下:
![]()
其中,f為體積力;t為表面力;u為結構的平衡位移;Ω為結構所占區域;
為結構的力邊界。在外力固定的條件下,結構的剛度越大,整體響應越小,其柔順性也就越小,見式(2.1)。如果不考慮構型所受到的體積力,其柔順性為
![]()
對于線彈性系統,結構的柔順性有如下的能量表達形式:
![]()
其中
為彈性張量;
為應變場,對于線性結構
。
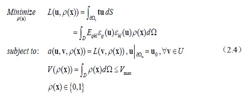
在不考慮體積力的情況下,以整體柔順性為目標,材料體積為約束的線彈性連續體拓撲優化模型為

其中,
為彈性張量;
為應變場,ρ(x)表示點x處材料的密度,ρ(x)=x表示該處為實體材料,ρ(x)=0表示該處為空心材料;L(u,ρ(x))為拓撲結構的整體柔順性; a(u,v,ρ(x))為優化構型的平衡方程,
為結構的位移邊界,
為結構的位移邊界條件;
為結構所受到的體積約束。
實際工程中常需考慮多個工況的影響,以多工況加權柔順性最小化為設計目標。
1.2 強度約束拓撲優化
考慮強度約束的拓撲優化問題是指在滿足結構強度要求的基礎上,使結構所使用的材料最少,模型如式(2.5)所示。

其中ρ(x)表示點x處材料的密度,ρ(x)=1表示該處為實體材料,ρ(x)=0表示該處為空心材料
為第j種工況在點x處的Mises應力;
為材料的許用應力。通常的解法是用有限元方法將設計域離散成很多單元,以單元密度為設計變量,使求得的單元Mises應力滿足強度條件。
2 轎車副車架結構優化CAE流程
在開展副車架剛度、強度CAE分析的基礎上,結合拓撲優化方法,建立了副車架結構優化CAE流程,主要包括副車架SSTS指標確定階段、基于懸架車輛動力學分析的載荷分解階段、CAE建模階段、剛度強度評價分析階段、及拓撲優化分析階段,如圖2所示。可根據副車架的設計變更情況,對該分析流程進行有效組合,以適應副車架在概念設計或詳細設計階段開展的結構優化工作。

圖2 副車架結構優化CAE流程圖
3 轎車副車架CAE分析應用實例
3.1 某車型前副車架強度評價分析
采用圖2給出的CAE分析流程,基于26個載荷工況(見表1),通過ADAMS提取出連接點載荷,對某車型前副車架進行了強度評價分析。有限元模型如圖3所示,共計61739個單元。
表1 前副車架分析載荷工況列表


圖3 某車型前副車架有限元模型
載荷工況1~22基于慣性釋放法采用線性分析,工況23~26采用非線性強度分析。CAE分析發現,該前副車架控制臂安裝支架附近應力偏高,與臺架試驗破壞部位吻合,如圖4所示。說明本文建立的CAE模型精度較高,載荷工況選取適當,可以較為準確的預測副車架的強度薄弱部位,快速找出影響副車架強度的載荷工況,為改進設計提供理論依據。

圖4 某車型前副車架CAE分析結果與試驗結果對比
3.2 某車型后副車架輕量化分析
采用圖2所示的CAE流程,對某車型后副車架進行了減重分析,發現BUMP載荷工況對該副車架影響最大(副車架橫梁出現較大應力等),通過基于應力約束的拓撲優化分析,綜合考慮各載荷工況的影響程度,及副車架連接位置不變的設計約束,將該副車架的前后橫梁作為拓撲優化設計域,調整BUMP工況的加權值,得到了圖5 所示的拓撲優化結果,圖5中紅色顯示出非設計域及關鍵載荷路徑,應予以保留,因此基于該拓撲優化結果,制定了減重約15%(約2.5Kg)的副車架輕量化方案,減重前后的模型如圖6所示,進一步驗證了拓撲優化方法在副車架輕量化設計過程中的有效性。

圖5 基于應力約束的拓撲優化分析結果

圖6 后副車架減重前后模型對比
3.3 某車型后副車架概念模型拓撲優化設計
某車型全新后副車架的概念開發階段,在已知懸架硬點及特性參數的條件下,采用實體單元離散總布置給定的副車架布置空間,建立了如圖7所示的拓撲優化模型,確定了初始優化設計域。

圖7 后副車架初始設計域
綜合考慮副車架的剛度、強度、重量等SSTS指標,通過設定適當的柔順性目標、質量極小目標及應力約束條件,采用OptiStruct求解,得到了如圖8所示的概念模型,為設計部門提供了新型副車架的設計思路。

圖8 基于應力約束的拓撲優化密度分布構型圖
4 結論
本文綜合多工況強度分析方法和拓撲優化技術,制定了副車架輕量化CAE分析方法及流程,并直接應用該方法對幾款轎車的副車架進行強度評價及輕量化分析,得到了滿足副車架SSTS目標,符合工藝要求的實用型輕量化結構,通過與實驗結果對比驗證了模型精度。三個工程應用案例證明了多工況輕量化方法的有效性及實用性。
隨著汽車輕量化技術日益受到重視,高強鋼、鋁合金等輕量化材料的應用、液壓成型等先進制造工藝的工程化、新型輕量化結構等方面的探討必將成為汽車行業研究人員關注的熱點課題,而本文給出的概念模型拓撲優化分析實例進一步說明拓撲優化技術在尋找新型輕量化結構方面必將起到舉足輕重的作用。
相關文章
- 2021-09-08BIM技術叢書Revit軟件應用系列Autodesk Revit族詳解 [
- 2021-09-08全國專業技術人員計算機應用能力考試用書 AutoCAD2004
- 2021-09-08EXCEL在工作中的應用 制表、數據處理及宏應用PDF下載
- 2021-08-30從零開始AutoCAD 2014中文版機械制圖基礎培訓教程 [李
- 2021-08-30從零開始AutoCAD 2014中文版建筑制圖基礎培訓教程 [朱
- 2021-08-30電氣CAD實例教程AutoCAD 2010中文版 [左昉 等編著] 20
- 2021-08-30電影風暴2:Maya影像實拍與三維合成攻略PDF下載
- 2021-08-30高等院校藝術設計案例教程中文版AutoCAD 建筑設計案例
- 2021-08-29環境藝術制圖AutoCAD [徐幼光 編著] 2013年PDF下載
- 2021-08-29機械AutoCAD 項目教程 第3版 [繆希偉 主編] 2012年PDF