球閥,是應用較為廣泛的閥門之一,它出現很早,推廣使用較晚。它的工作原理與旋塞閥一樣,都是靠旋轉閥芯來使閥門啟閉的,但比旋塞閥開關輕便,相對體積小,可以做成大口徑閥門。球閥密封可靠,結構簡單,維修方便,密封面與球體常在閉合狀態,不易被介質沖蝕。目前,國外球閥口徑已達3050cm,在石油、化工、冶金、輕紡、食品、原子能、航空等部門廣泛使用。
一、球閥的分類 :
球閥分為兩大類:浮動式、固定式(見圖1)

a、浮動式球閥

b、固定式球閥
圖1浮動式、固定式球閥結構
1、浮動式球閥
球閥的球體是浮動的,在介質壓力作用下,球體能產生一定的位移并緊壓在出口端的密封面上,保證球閥的密封。浮動球球閥的結構簡單,密封性好,但球體承受工作介質的載荷全部傳給了出口密封圈,因此要考慮密封圈材料能否經受得住球體介質的工作載荷。這種結構,廣泛用于中低壓球閥。
2、固定球球閥
球閥的球體是固定的,受壓后不產生移動。固定球球閥都帶有浮動閥座,受介質壓力后,閥座產生移動,使密封圈緊壓在球體上,以保證密封。通常在與球體的上、下軸上裝有軸承,操作扭距小,適用于高壓和大口徑的閥門。為了減少球閥的操作扭矩和增加密封的可靠程度,近年來又出現了油封球閥,既在密封面間壓注特制的潤滑油,以形成一層油膜,即增強了密封性,又減少了操作扭矩,更適用高壓大口徑的球閥。
本文主要對浮動式大口徑球閥的密封性啟閉力矩等作粗淺的探討,希望能對球閥的應用有所幫助。
二、大口徑球閥的技術指標:
1、浮動球閥的密封
浮動球球閥的結構簡單,密封性好,但球體承受工作介質的載荷全部傳給了出口密封圈,因此密封圈材料能否經受得住球體介質的工作載荷是關鍵。(1)、一般說來,密封圈都是用聚四氟乙烯等彈性材料制造,金屬與非金屬材料組成密封副,也就是通常稱為軟密封。軟密封的密封性容易保證,而且對密封表面的加工精度與表面粗糙度要求也不很高。在介質的壓力下,球體向出口端位移并壓緊閥座,這時,球體壓在閥座上的力QMJ為:
#p#分頁標題#e#
式1
式中:DMW—閥座密封面外徑
DMN—閥座密封面內徑
P—介質工作壓力
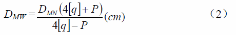
為了保證低壓時的密封,球閥和閥座所必須的預緊比壓不應小于1200N·M,預緊密封主要靠閥座本身的彈性,所以密封面的寬度是受一定限制的,計算式為:

式2
式中:[q]—許用應力(聚四氟乙烯許用應力為1530N·M)
對于帶彈性元件的閥座,它的工作可靠性和使用期限很大程度上取決于正確選擇密封閥座的預壓縮力。
低壓時,在預緊力不足的情況下,將不能保證球閥的密封,過渡的壓縮會引起球體和閥座間的摩擦力矩增加,并可能引起閥座材料的塑性變形。
閥座與閥體槽之間的間隙δ1,是保證球閥正常工作的基本條件,在選擇間隙δ1時,必須考慮預壓縮閥座的均勻伸長應在總的彈性變形范圍內,對此采用:

式3
式中:DMP—閥座平均直徑;σMJ—彈性變形范圍內閥座橫截面的許用應力,對聚四氟乙烯制閥座,σMJ=820(N-M);E—閥座材料的彈性模數,對聚四氟乙烯制閥座,E=48000~81600(N-M)。閥座的密封材料一般都是用聚四氟乙烯,在現有塑料中,化學穩定性最強的是聚四氟乙烯,它對化學作用的穩定甚至超過貴重金屬金和鉑、玻璃、陶瓷、搪瓷、特種鋼材和合金。化學腐蝕性較強的物質—濃酸、稀酸、濃堿液、最強的氧化劑也不能對聚四氟乙烯起任何作用,有“塑科王”之稱。除某些鹵化胺或芳香烴使聚四氟乙烯塑料有輕微的溶脹現象之外,酮類、酸類、酯類等有機溶劑對聚四氟乙烯都無作用,不會發生重量變化及溶脹現象。對它能發生作用的僅為熔融態的堿金屬、三氟化氯及元素氟等,但也只是在高溫、高壓下作用才顯著。此外,聚四氟乙烯也不受氧或紫外線的作用,不吸水、具有不燃性。
它具有很高的耐熱性和耐寒性,使用溫度范圍為-180~250℃,在250℃處理240h,力學性能無降低,390℃每小時失重0.006%。它的介電性能優良,并且電性能不受頻率和溫度的影響,可在250℃下長期工作。由上可知,用聚四氟乙烯作為球閥的密封是較為理想的。聚四氟乙烯的彈性模數值很大,因此,材料的性能決定了其彈性變形很小,一但長期便用,材料的彈性不足以彌補密封面的磨損,這時球閥的密封就要破壞,因此,在設計閥座時考慮如何從結構上增加它的彈性,我們選用了彈性結構(見圖2)。#p#分頁標題#e#

圖2 閥座密封圈
這種閥座有如下特點:
(1)密封面內有一個角度40°±1′;
(2)密封閥座底部有一個R2的半圓槽;
(3)與閥體的配合留有間隙δ1可增加彈性。
結構原理為:在無預緊力裝配時,球體與A點相切,裝配預緊力使球軸位移,位移一般在0.2~0.4(mm)之間,當球體受到壓力后,球體隨壓力方向緊貼在密封面上,這時密封圈向外膨脹,使密封面與球面不會貼的太緊而造成扭矩增大,卸壓后,密封閥座基本上又恢復到原來安裝時的位置。
自緊密封,是較為特殊的密封形式,我廠生產的大口徑球閥,閥桿密封全部采用該結構。工作原理是:利用介質壓力進行自緊密封,它的密封圈裝在內錐體外,跟介質相向的一面成一定角度,介質壓力傳給內錐體,以傳遞給密封圈,在一定角度的錐面上產生兩個分力,一個與閥體中心線平行向外,另一壓向閥體內壁,后面這個力便是自緊力,介質壓力愈大,自緊力也愈大,考慮到低壓時的密封,在自緊密封上面必須增加一定的預緊力,保證其密封性能。
2、、球閥的扭矩
球閥摩擦力的大小,不僅取決于介質的工作壓力和閥門的通徑,而且和球閥的形式、密封和支承部件的結構及密封材料的性質有關,此外,每一具體結構中,密封座上的摩擦力還取決于球閥轉動的角度。
在正常差壓下動作的扭矩:當球閥轉動開啟到30°時,出現最大值,全開時(90°)為零,實際上,當球閥轉到80°時,壓差通常大大地小于最大值。當關閉球閥時壓差最大,隨著它的打開程度增加而逐漸減小,因而在壓力恒定的情況下,最大力扭矩產生轉動到30°~40°時。球閥的工作可劃分為二個主要階段。
(1)從球體啟動到開始打開球閥階段,這個階段球體中僅作用著由密封元件中預緊力和工作介質靜壓力所產生的摩擦力。
(2)從開始打開閥門到球孔與閥門通道完全重合階段,這個階段對靜壓差產生的摩擦力,還要加上由于液體或氣體介質力作用的力。隨著閥門的關閉,球體將堵住通孔,這樣,球體上的流體動作力將減小,而差壓增大。
3、、總摩擦扭矩的計算
閥門的摩擦扭矩按下式計算:
MF=MQZ+MFT+MFC(N-M)(4)
式中:MQZ—球體在閥座中的摩擦力矩
MFT—填料與閥桿的摩擦力矩
MFC—閥桿頭部的摩擦力矩
分析球閥產生的作用力表明,球閥在介質的作用下,浮動球體向出口端位移,所產生的作用力全部由出口的閥座密封圈承受,球前閥座密封圈不承受作用力,同時也不影響摩擦扭矩。 #p#分頁標題#e#

式5
式中:f—摩擦系數,對于聚四氟乙烯密封圈f=0.5
閥桿在填料中的摩擦力矩取決于密封的形式和工作壓力的大小,在壓緊時,上下密封圈都承受均勻的壓力,填料中的摩擦力不取決于球體的轉動角度,所以,填料的摩擦力矩按下式:
MFT=πdFh1Z11.2Pf(N-M)(6)
式中:dF—閥桿直徑
h1—單圈填料與閥桿接觸高度
Z1—填料圈數
閥桿頭部的摩擦力矩可按下式:

式7
式中:dF、dFT—閥桿頭計算直徑由上可知,球閥的啟閉力矩是由多方面來決定的,對于通徑≤100mm,使用壓力在1.6Mpa以內的球閥,其啟閉力矩不能超過60N-M。以上分析可知,浮動球閥有它的局限性,由于結構上的原因,在大口徑高壓力下會出現扭矩成倍增加。因此,就必須選用固定式結構的球閥,我們也將進一步進行探討其適用性能。
相關文章
- 2021-09-08BIM技術叢書Revit軟件應用系列Autodesk Revit族詳解 [
- 2021-09-08全國專業技術人員計算機應用能力考試用書 AutoCAD2004
- 2021-09-08EXCEL在工作中的應用 制表、數據處理及宏應用PDF下載
- 2021-08-30從零開始AutoCAD 2014中文版機械制圖基礎培訓教程 [李
- 2021-08-30從零開始AutoCAD 2014中文版建筑制圖基礎培訓教程 [朱
- 2021-08-30電氣CAD實例教程AutoCAD 2010中文版 [左昉 等編著] 20
- 2021-08-30電影風暴2:Maya影像實拍與三維合成攻略PDF下載
- 2021-08-30高等院校藝術設計案例教程中文版AutoCAD 建筑設計案例
- 2021-08-29環境藝術制圖AutoCAD [徐幼光 編著] 2013年PDF下載
- 2021-08-29機械AutoCAD 項目教程 第3版 [繆希偉 主編] 2012年PDF