所謂結構拓撲優化是指結構中材料的布局優化,它能為形狀/尺寸優化提供新穎、合理的初始設計。連續體結構拓撲優化理論始于20世紀80年代末,經過不斷發展和完善,現已廣泛應用于航空、航天、機械制造、復合材料設計等諸多領域。連續體拓撲優化方法中影響最大、應用最廣的是變密度法(Solid Isotropic Microstructures with Penalization簡稱SIMP法)。目前,該方法已集成于多種結構分析軟件,如HyperWorks、ANSYS等。
朱軍祚等最早利用ANSYS中拓撲優化模塊探討了水工鋼閘門的設計問題。該工作僅停留在理論探討層面。為了使得拓撲優化能夠有效地指導水工結構設計,尤其是弧形鋼閘門的設計中。本文以一個現實的露頂式弧形鋼閘門設計方案為例,采用分步拓撲優化方法進行了新型弧形鋼閘門結構設計方法的探索。
1 連續體拓撲優化概念
1.1 SIMP方法的數學描述
在SIMP方法中,若結構分析材料有限元方法進行,則單元的偽密度為單元的設計變量,偽密度取值范圍是(0 1]。偽密度趨于零表示單元中無材料,等于1則表示單元中材料無空隙。偽密度介于0和1之間的單元稱為中間密度單元。為了便于提取邊界,需減少中間密度單元的個數,因此往往采用密度懲罰的辦法,即單元中材料的彈性模量與偽密度的p次方成正比。p即為密度懲罰因子,本文取其值為3。同時,為了避免棋盤格等數值不穩定現象的出現,需對目標函數的敏度做濾波處理。
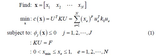
通常,剛度優化設計問題可用下式表述:

其中,U和F為全局位移向量和力向量,K為全局剛度矩陣,即結構總剛度陣,ue和ke是單元位移矢量和單元剛度矩陣,設計變量xe為單元的偽密度,xmin是偽密度下限(不為零,以避免結構總剛度陣奇異),N為設計域內單元的個數,p是懲罰因子,φj為約束函數,如體積約束、位移約束、應力約束、屈曲約束和頻率約束等。J為約束函數個數。1.2 結構拓撲優化的實現本文采用有限元軟件HyperWorks的拓撲優化功能實現結構拓撲優化分析。
2 應用實例
2.1 工程概況
某水電站溢洪道工作弧門結構布置圖如圖1 a所示工作閘門結構設計為雙腹板主橫梁、斜支臂結構形式(支臂截面為箱型),閘門結構各個部件布置情況見圖2 所示。
(i) 閘門布置參數
孔口高度:20.0m
閘門高度:20.333m
底檻高程:455.167m
支鉸高程:466.50m
弧門半徑:24.00m
工作弧門20×20.333m2,設計水頭19.833m,總水壓力約39000KN。
(ii) 板件厚度
見附錄1。
(iii) 材料參數
閘門所用材料為Q345B鋼材,彈性模量為206GPa,泊松比為0.3,密度ρ=7800kg/m3。【結構總重約273噸】

圖 1 工作弧門結構布置圖

圖 2 弧門結構的傳統設計方案
2.2 設計步驟
大量的分析表明,如果采用三維實體結構直接進行拓撲優化,得到的結果往往難以制造,甚至無法為結構設計提供新思路。為此,本文采用逐步拓撲優化的方法將弧形鋼閘門看作是由三個主要部件,即兩個支臂、擋水面板和支撐擋水面板的框架,構成的三維結構。在設計該結構的過程中主要包括以下幾個步驟:
1) 支臂的設計方案;
2) 支撐框架中縱向肋的布局;
3) 支撐框架中橫向肋的布局;
4) 構造鋼閘門的整體結構并安全性分析;
5) 其他工況下的結構安全性校核。
2.3 設計過程
為了便于計算及描述,全局坐標系設定為直角坐標系(OXYZ):X向為從坐標原點沿水流方向指向上游為X軸正方向;從坐標原點豎直向上為Y軸正方向;過坐標原點、與過支鉸中心線平行并指向右支鉸的方向為Z軸正方向。
2.3.1 支臂的設計方案
支臂的確定包括支臂的位置、拓撲、形狀和尺寸的確定。該閘門的原始設計形式采用的是露頂式直支臂弧形鋼閘門,支臂截面形式為箱型,支臂與弧形擋水面正交。目前仍設定支臂所在平面與擋水面板所在曲面正交。
I: 主支臂的位置
兩組支臂的位置可通過如圖3 所示的外伸等直梁中支撐的位置確定。易知,在均布荷載作用下,為保證梁在支撐處的轉角為零,利用材料力學中梁的變形分析可知支座距離中心的長度(
)占總長(#p#分頁標題#e#![]()
)的0.293。因此當弧形鋼閘門的跨度為20000mm時,支臂中心應距離擋水面板縱對稱面5860mm處。

圖 3 均布荷載作用下的外伸梁模型
II: 主支臂的拓撲、形狀和尺寸
為了便于制造,在確定支臂拓撲、形狀和尺寸時,現將原三維結構轉化為二維分析,靜水壓力也相應地凝縮到二維邊界。根據實際工程中鋼閘門的側視圖,取二維的初始設計域為一個扇形(見圖4 a),扇形面的弧形半徑即為工作弧門半徑。

圖 4 支臂拓撲優化模型及結果
在確定支臂拓撲時,工作弧門外表的擋水面板應設為非設計域。支臂與擋水面板之間應有縱向加強肋,以確保擋水面板受力均勻,變形小。此時,也設定加強肋所占區域為非設計域。因此,確定支臂拓撲、形狀的二維初始設計中,非設計域的厚度由擋水面板的厚度和加強肋的厚度組成。該值需重新確定,其估算公式為:
![]()
其中:參數α取值范圍為[10 20],擋水面板的跨度L為200000mm,箱型支臂中縱向面內板的厚度D為4×30mm=120mm,擋水面板的厚度TO的初始值為16mm。同時,參考規范[1],初步將二維初始設計中非設計區域深度取為1800mm。
扇形設計域中圓心位置及位移約束可按照圖1中參數確定。擋水面板上的荷載q,即靜水壓力按滿載(最不利工況)設定。圖4 a所示的初始設計域中,材料選取Q345B鋼材。拓撲優化的目標是結構柔度最小,約束條件為優化后的結構體積(即材料用量)占總體積的14%(即臨界體積率為14%)。本次優化過程中暫不考慮結構自重,否則自重占據荷載主體,最終結構不利于抵擋水壓力。圖4 b為優化后并經修正得到的支臂形狀(具體尺寸可參見附錄2)。
2.3.2 縱向肋的布局方案
縱向肋是構成擋水面板的支撐框架的一部分。其布局方案包括,結構中縱向肋的數量、位置以及不同位置處縱向肋的深度。
為了獲得縱向肋的布局方案,取三維結構中任意一個橫截面(與圖4 a中結構正交),其模型如圖3 中外伸梁,但梁的深度為2000mm,即略高于縱向肋最大深度(1800mm),以便消除自由度約束處局部剛度過大現象;寬度為10000mm,即整體結構的一半。梁下位移約束設定為1100mm,即支臂的寬度,荷載為均布壓力。其結構分析模型的一半為圖5 a所示。在優化過程中,僅將擋水面板設定為非設計域,結構柔度最小為優化目標,具有體積約束(臨界體積率為20%)。對其進行拓撲優化,優化后得到弧形擋水面中縱向肋數量、位置及深度(如圖5 b所示)。
同時參照規范對部分尺寸進行了修正,得到結構初始設計的具體尺寸,如表1所示。所有縱向肋均采用工字鋼。由此可以建立縱向肋的布局方案(參見圖5 c)。


圖 5 縱向肋布局優化及結果
表 1 縱向肋的深度

2.3.3 橫向肋的布局方案
橫向肋包括結構中部肋和邊界肋。邊界肋即為擋水面板上下兩條邊界上布設的肋。而中部布設的肋需通過拓撲優化分析獲得。
圖 6 為橫向肋拓撲優化的初始設計域示意圖。為了降低計算量,將支臂所在非設計區域去掉,交界處代之以固定位移約束。圖6 b和6 c為橫向肋拓撲優化的初始設計域三維視圖。
對整體三維結構(見圖6 c)進行拓撲優化,在優化過程中,僅將擋水面板設定為非設計域,結構柔度最小為優化目標,具有體積約束(臨界體積率為10%),并沿Z向施加生產制造(碾壓成型)約束。

圖 6 橫向肋布局優化初始設計
拓撲優化后得到弧形擋水面的支撐框架中橫向肋位置的初始設計方案,如圖7 所示。圖7 b中1號線上側有材料,但沒有布置肋。
修正后各個1-8號橫向肋與0號線夾角的角度(參見表2)。因橫向肋與縱向肋相互卡接,縱向肋的間距小,所以橫向肋均采用矩形截面鋼(平面鋼板)。由此建立橫向肋的布局方案(參見圖7 b)。
#p#分頁標題#e#
圖 7 橫向肋布局優化及結果
表 2 橫向肋的布置角度

此外,除了上述橫向肋外,擋水面板的上下邊界也需布設橫向肋。這兩根橫向肋(0號和9號)無卡槽,不僅能提高結構剛度、加強縱向肋的穩定性,同時也有利于提高結構強度。尤其是底部橫向肋(0號)上與支臂交叉處將布設吊耳。因此,擋水面板的支撐框架內含有10根橫向肋。
2.3.4 建立結構初始設計模型并做安全性分析
根據以上分步拓撲優化結果,可以得到模型的支臂、縱向肋和橫向肋等部分的布局方案。擋水面板的支持框架中含19根縱向肋(10號縱向肋處在鋼閘門的對稱面內)。利用各部件的設計方案建立弧形鋼閘門的三維模型(參見圖8 )。各部件初始尺寸可參見附錄1。

圖 8 弧形鋼閘門整體結構初始設計
滿載工況是指結構考慮自重的情況下,工作水頭達到設計水頭(19.833m)時結構的受力狀態。非滿載時,結構中除自重外,還可能存在不同水頭下的靜水壓力荷載。
分析過程中,因支鉸處沒有設計支撐細節,因此支鉸及附近1.8m范圍內的應力將不作為參考。
(i)剛度校核
滿載條件下結構分析得到位移云圖(見圖9)。可發現,弧形擋水面的上部位移相對較大,而實際中弧形擋水面上部受到的荷載作用是相對較小的。位移最大值為65.2mm,位于擋水面上部的兩個角端位置;兩側縱向肋中部和底部位移較小且比較均勻,介于10~20mm之間,底部最低點的位移為14.7mm;面板中部偏下和底部位移較大,介于25~37mm之間。

圖 9 結構位移云圖
(ii)強度校核
滿載條件下結構的應力云圖如圖10所示。從圖中可以看出,應力高于345MPa的區域是支鉸附近區域范圍內,原因在于在分析時僅作線彈性分析。但該部分需做圓柱鉸,細節改變后受力狀態也會改變。支臂中除支撐點外的最大應力出現在上部主干直支臂與分支臂過渡區(如圖10中A點),最大應力值為260MPa,支臂的其余部分應力均小于210MPa;縱向肋中應力最大的位置是支臂連接的外側縱向肋(4號縱向肋)的下部,與面板和橫向肋連接的局部范圍內(如圖10中B點)其值為494MPa(大于345MPa),需要做局部加強處理。除了與橫向肋連接處應力相對較大外,縱向肋的其余部分應力值均小于170MPa;橫向肋中應力最大的位置是2號橫向肋與支臂內側連接處(如圖10中C點),其值為332.6MPa,除了與支臂連接處應力相對較大外,橫向肋的其余部分應力值均小于175MPa;擋水面板中應力最大的位置是4號縱向肋與面板的下部連接處,其值為308.8MPa,擋水面板中除最下層面板外,面板的其余部分應力值均小于205MPa。
圖 10 結構應力云圖
(iii)屈曲穩定性校核
對所建立的模型施加實際的約束和荷載之后,進行模態分析。一階模態如圖11所示,首先進入失穩的位置在上部支臂與7號橫向肋交界附近,對應的屈曲臨界荷載因子為3.514(遠大于1.0)。因重力為不變荷載,因此真實值大于3.514。

圖 11 閘門的一階模態
(iv)動力穩定性校核
通常,水流激勵頻率在[0 3]之間。為了避免結構發生共振,需避開此區間。對上述結構進行自振分析。一階頻率(基頻)為4.266,遠離水流頻率。因此結構滿足動力穩定性。2.3.5其他工況下的結構安全性校核(i)非滿載工況表3給出了不同工況下結構中應力和位移最大值及所處位置。不難發現,滿載時底部四號縱向肋應力超過許用應力,需做局部加強。
表3 不同水頭下結構中最大應力及最大位移

(ii)滿載下吊耳工作工況
吊耳工作時可看作是將吊耳所在位置上的節點沿Y向指定一個很小的位移值。底部橫向肋上其他點的位移約束全部去掉。結構的最大位移值為66.5mm,位于面板上部中間;結構中除支鉸外的其他部分受力比較均勻,應力值均小于259MPa。

圖 12 吊耳工作時滿載結構位移及應力分布#p#分頁標題#e#
3 結論
利用優化方法并結合實例設計了新型弧形閘門,給出了設計露頂式弧形鋼閘門的設計步驟。在確保結構的強度、剛度和穩定性等性能指標具有一定安全裕度條件下,經優化后結構重量較傳統設計減重約26%。結構自重大大降低的優點在于:節省材料、降低造價、便于安裝和操作。
相關文章
- 2021-09-08BIM技術叢書Revit軟件應用系列Autodesk Revit族詳解 [
- 2021-09-08全國專業技術人員計算機應用能力考試用書 AutoCAD2004
- 2021-09-08EXCEL在工作中的應用 制表、數據處理及宏應用PDF下載
- 2021-08-30從零開始AutoCAD 2014中文版機械制圖基礎培訓教程 [李
- 2021-08-30從零開始AutoCAD 2014中文版建筑制圖基礎培訓教程 [朱
- 2021-08-30電氣CAD實例教程AutoCAD 2010中文版 [左昉 等編著] 20
- 2021-08-30電影風暴2:Maya影像實拍與三維合成攻略PDF下載
- 2021-08-30高等院校藝術設計案例教程中文版AutoCAD 建筑設計案例
- 2021-08-29環境藝術制圖AutoCAD [徐幼光 編著] 2013年PDF下載
- 2021-08-29機械AutoCAD 項目教程 第3版 [繆希偉 主編] 2012年PDF